Note
Go to the end to download the full example code.
Fitting NuSTAR Spectra: Simultaneous Fitting#
A real example from [Cooper2021] of fitting two NuSTAR spectra simultaneously.
import warnings
import matplotlib.pyplot as plt
import numpy as np
from numpy.exceptions import VisibleDeprecationWarning
from parfive import Downloader
from sunkit_spex.legacy.fitting.fitter import Fitter
warnings.filterwarnings("ignore", category=RuntimeWarning)
try:
warnings.filterwarnings("ignore", category=VisibleDeprecationWarning)
except AttributeError:
warnings.filterwarnings("ignore", category=np.exceptions.VisibleDeprecationWarning)
Set up some plotting numbers
spec_single_plot_size = (8, 10)
spec_plot_size = (25, 10)
spec_font_size = 18
default_font_size = 10
x_limits, y_limits = [1.6, 8.5], [1e-1, 1e3]
Download the example data
dl = Downloader()
base_url = "https://sky.dias.ie/public.php/dav/files/BHW6y6aXiGGosM6/nustar/m10_1616_1620/"
file_names = [
"nu80415202001A06_chu13_N_cl_grade0_sr.pha",
"nu80415202001A06_chu13_N_cl_grade0_sr.arf",
"nu80415202001A06_chu13_N_cl_grade0_sr.rmf",
"nu80415202001B06_chu13_N_cl_grade0_sr.pha",
"nu80415202001B06_chu13_N_cl_grade0_sr.arf",
"nu80415202001B06_chu13_N_cl_grade0_sr.rmf",
]
for fname in file_names:
dl.enqueue_file(base_url + fname, path="../../nustar/m10_1616_1620/")
files = dl.download()
Files Downloaded: 0%| | 0/6 [00:00<?, ?file/s]
nu80415202001A06_chu13_N_cl_grade0_sr.rmf: 0%| | 0.00/35.3M [00:00<?, ?B/s]
nu80415202001A06_chu13_N_cl_grade0_sr.pha: 0%| | 0.00/132k [00:00<?, ?B/s]
nu80415202001B06_chu13_N_cl_grade0_sr.pha: 0%| | 0.00/132k [00:00<?, ?B/s]
nu80415202001B06_chu13_N_cl_grade0_sr.arf: 0%| | 0.00/63.4k [00:00<?, ?B/s]
nu80415202001A06_chu13_N_cl_grade0_sr.arf: 0%| | 0.00/63.4k [00:00<?, ?B/s]
nu80415202001A06_chu13_N_cl_grade0_sr.pha: 1%| | 1.02k/132k [00:00<00:19, 6.75kB/s]
nu80415202001B06_chu13_N_cl_grade0_sr.pha: 1%| | 1.02k/132k [00:00<00:19, 6.72kB/s]
nu80415202001A06_chu13_N_cl_grade0_sr.rmf: 0%| | 1.02k/35.3M [00:00<1:30:24, 6.51kB/s]
nu80415202001A06_chu13_N_cl_grade0_sr.arf: 2%|▏ | 1.02k/63.4k [00:00<00:09, 6.79kB/s]
nu80415202001B06_chu13_N_cl_grade0_sr.arf: 2%|▏ | 1.02k/63.4k [00:00<00:09, 6.42kB/s]
nu80415202001B06_chu13_N_cl_grade0_sr.pha: 30%|███ | 39.9k/132k [00:00<00:00, 192kB/s]
nu80415202001A06_chu13_N_cl_grade0_sr.pha: 32%|███▏ | 42.0k/132k [00:00<00:00, 138kB/s]
nu80415202001B06_chu13_N_cl_grade0_sr.pha: 69%|██████▉ | 91.1k/132k [00:00<00:00, 323kB/s]
nu80415202001A06_chu13_N_cl_grade0_sr.rmf: 0%| | 42.0k/35.3M [00:00<04:21, 135kB/s]
nu80415202001A06_chu13_N_cl_grade0_sr.arf: 66%|██████▋ | 42.0k/63.4k [00:00<00:00, 138kB/s]
Files Downloaded: 17%|█▋ | 1/6 [00:00<00:03, 1.40file/s]
nu80415202001B06_chu13_N_cl_grade0_sr.arf: 66%|██████▋ | 42.0k/63.4k [00:00<00:00, 134kB/s]
nu80415202001A06_chu13_N_cl_grade0_sr.rmf: 0%| | 140k/35.3M [00:00<01:27, 403kB/s]
nu80415202001B06_chu13_N_cl_grade0_sr.rmf: 0%| | 0.00/34.3M [00:00<?, ?B/s]
nu80415202001A06_chu13_N_cl_grade0_sr.rmf: 1%| | 296k/35.3M [00:00<00:45, 762kB/s]
nu80415202001A06_chu13_N_cl_grade0_sr.rmf: 2%|▏ | 534k/35.3M [00:00<00:27, 1.26MB/s]
nu80415202001B06_chu13_N_cl_grade0_sr.rmf: 0%| | 1.02k/34.3M [00:00<1:27:59, 6.51kB/s]
nu80415202001A06_chu13_N_cl_grade0_sr.rmf: 3%|▎ | 1.13M/35.3M [00:00<00:12, 2.70MB/s]
nu80415202001B06_chu13_N_cl_grade0_sr.rmf: 0%| | 91.1k/34.3M [00:00<01:19, 430kB/s]
nu80415202001A06_chu13_N_cl_grade0_sr.rmf: 7%|▋ | 2.34M/35.3M [00:00<00:05, 5.56MB/s]
nu80415202001B06_chu13_N_cl_grade0_sr.rmf: 1%| | 255k/34.3M [00:00<00:37, 913kB/s]
nu80415202001A06_chu13_N_cl_grade0_sr.rmf: 12%|█▏ | 4.31M/35.3M [00:00<00:03, 9.82MB/s]
nu80415202001B06_chu13_N_cl_grade0_sr.rmf: 2%|▏ | 640k/34.3M [00:00<00:16, 1.98MB/s]
nu80415202001A06_chu13_N_cl_grade0_sr.rmf: 22%|██▏ | 7.67M/35.3M [00:01<00:01, 16.7MB/s]
nu80415202001B06_chu13_N_cl_grade0_sr.rmf: 5%|▍ | 1.57M/34.3M [00:00<00:07, 4.47MB/s]
nu80415202001B06_chu13_N_cl_grade0_sr.rmf: 9%|▉ | 3.26M/34.3M [00:00<00:03, 8.56MB/s]
nu80415202001A06_chu13_N_cl_grade0_sr.rmf: 31%|███▏ | 11.1M/35.3M [00:01<00:01, 20.5MB/s]
nu80415202001B06_chu13_N_cl_grade0_sr.rmf: 18%|█▊ | 6.15M/34.3M [00:00<00:01, 15.0MB/s]
nu80415202001A06_chu13_N_cl_grade0_sr.rmf: 42%|████▏ | 14.8M/35.3M [00:01<00:00, 23.7MB/s]
nu80415202001B06_chu13_N_cl_grade0_sr.rmf: 26%|██▌ | 8.89M/34.3M [00:00<00:01, 18.9MB/s]
nu80415202001A06_chu13_N_cl_grade0_sr.rmf: 53%|█████▎ | 18.6M/35.3M [00:01<00:00, 25.7MB/s]
nu80415202001B06_chu13_N_cl_grade0_sr.rmf: 37%|███▋ | 12.6M/34.3M [00:00<00:00, 23.3MB/s]
nu80415202001A06_chu13_N_cl_grade0_sr.rmf: 63%|██████▎ | 22.3M/35.3M [00:01<00:00, 27.6MB/s]
nu80415202001B06_chu13_N_cl_grade0_sr.rmf: 48%|████▊ | 16.4M/34.3M [00:01<00:00, 26.0MB/s]
nu80415202001A06_chu13_N_cl_grade0_sr.rmf: 74%|███████▍ | 26.1M/35.3M [00:01<00:00, 28.7MB/s]
nu80415202001B06_chu13_N_cl_grade0_sr.rmf: 59%|█████▊ | 20.1M/34.3M [00:01<00:00, 27.8MB/s]
nu80415202001A06_chu13_N_cl_grade0_sr.rmf: 85%|████████▍ | 29.9M/35.3M [00:01<00:00, 29.4MB/s]
nu80415202001B06_chu13_N_cl_grade0_sr.rmf: 70%|██████▉ | 23.9M/34.3M [00:01<00:00, 29.0MB/s]
nu80415202001A06_chu13_N_cl_grade0_sr.rmf: 95%|█████████▌| 33.6M/35.3M [00:01<00:00, 29.7MB/s]
Files Downloaded: 83%|████████▎ | 5/6 [00:02<00:00, 2.24file/s]
nu80415202001B06_chu13_N_cl_grade0_sr.rmf: 80%|████████ | 27.6M/34.3M [00:01<00:00, 29.7MB/s]
nu80415202001B06_chu13_N_cl_grade0_sr.rmf: 91%|█████████▏| 31.4M/34.3M [00:01<00:00, 30.3MB/s]
Files Downloaded: 100%|██████████| 6/6 [00:02<00:00, 2.61file/s]
Files Downloaded: 100%|██████████| 6/6 [00:02<00:00, 2.41file/s]
Load in your data files, here we load in 2 spectra
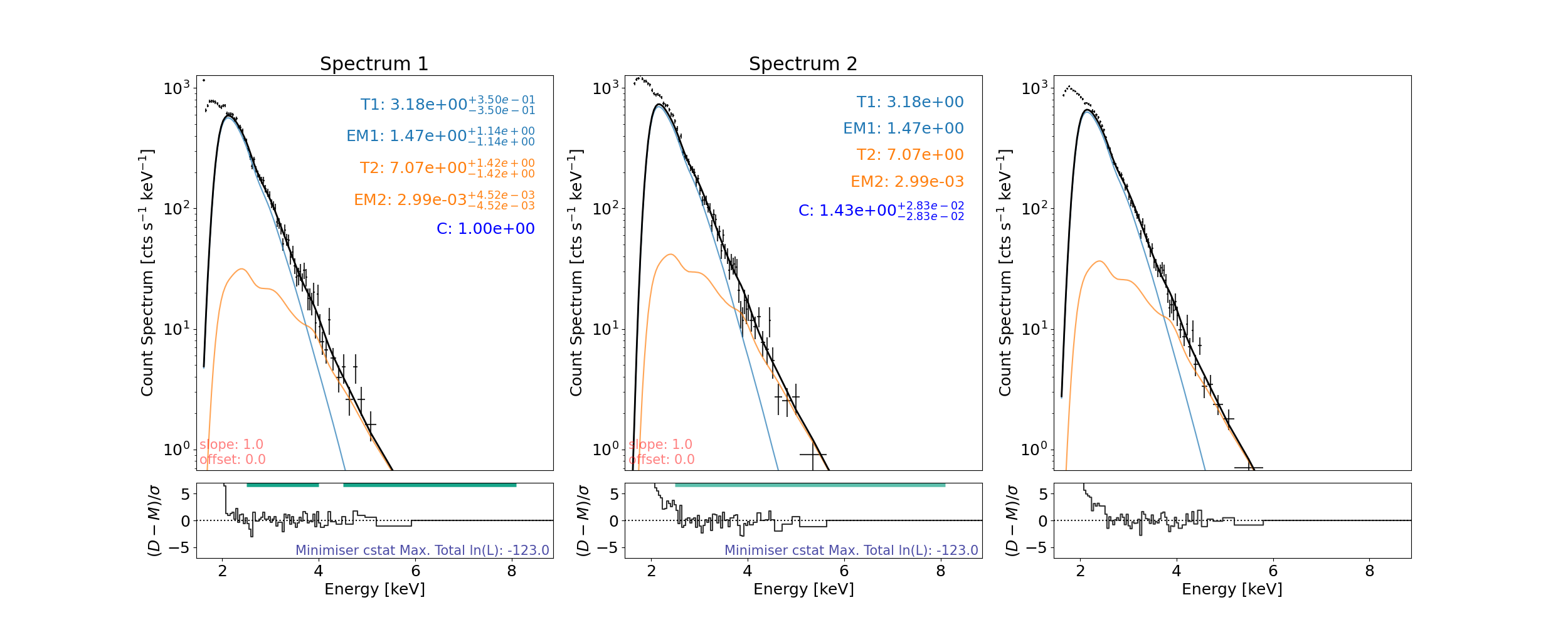
Next you can define a model, here we go for a 2 component isothermal model C parameter accounts for systematic offset between two different telescopes
spec.model = "C*(f_vth + f_vth)"
Set your count energy fitting range. Here we choose 2.5–8.1 keV
spec.energy_fitting_range = [2.5, 8.1]
Freeze parameters
spec.params["C_spectrum1"] = "frozen" is equivalent
spec.params["C_spectrum1"] = {"Status": "frozen"}
To set the initial value and boundary of your parameters we can do the following.
spec.params["T1_spectrum1"] = {"Value": 3.05, "Bounds": (2.5, 6)}
spec.params["EM1_spectrum1"] = {"Value": 1.7, "Bounds": (0.5, 3.5)}
spec.params["T2_spectrum1"] = {"Value": 6.6, "Bounds": (4, 10)}
spec.params["EM2_spectrum1"] = {"Value": 0.004, "Bounds": (1e-4, 2e-1)}
Free the constant (was tied to "C_spectrum1") to account for systematic offset between NuSTAR FPMs
spec.params["C_spectrum2"] = {"Status": "free", "Bounds": (0.5, 2)}
print(spec.params)
Status Value Bounds Error
T1_spectrum1 free 3.050 (2.5, 6) (0.0, 0.0)
EM1_spectrum1 free 1.700 (0.5, 3.5) (0.0, 0.0)
T2_spectrum1 free 6.600 (4, 10) (0.0, 0.0)
EM2_spectrum1 free 0.004 (0.0001, 0.2) (0.0, 0.0)
C_spectrum1 frozen 1.000 (0.0, None) (0.0, 0.0)
T1_spectrum2 tie_T1_spectrum1 1.000 (0.0, None) (0.0, 0.0)
EM1_spectrum2 tie_EM1_spectrum1 1.000 (0.0, None) (0.0, 0.0)
T2_spectrum2 tie_T2_spectrum1 1.000 (0.0, None) (0.0, 0.0)
EM2_spectrum2 tie_EM2_spectrum1 1.000 (0.0, None) (0.0, 0.0)
C_spectrum2 free 1.000 (0.5, 2) (0.0, 0.0)
We can also display the parameter table as an astropy table
print(spec.show_params)
Param Status ... Bounds Error
... (min, max) (-, +)
------------- ----------------- ... ------------- ------------------------
T1_spectrum1 free ... (2.5, 6) ( 0.00e+00, 0.00e+00)
EM1_spectrum1 free ... (0.5, 3.5) ( 0.00e+00, 0.00e+00)
T2_spectrum1 free ... (4, 10) ( 0.00e+00, 0.00e+00)
EM2_spectrum1 free ... (0.0001, 0.2) ( 0.00e+00, 0.00e+00)
C_spectrum1 frozen ... (0.0, None) ( 0.00e+00, 0.00e+00)
T1_spectrum2 tie_T1_spectrum1 ... (0.0, None) ( 0.00e+00, 0.00e+00)
EM1_spectrum2 tie_EM1_spectrum1 ... (0.0, None) ( 0.00e+00, 0.00e+00)
T2_spectrum2 tie_T2_spectrum1 ... (0.0, None) ( 0.00e+00, 0.00e+00)
EM2_spectrum2 tie_EM2_spectrum1 ... (0.0, None) ( 0.00e+00, 0.00e+00)
C_spectrum2 free ... (0.5, 2) ( 0.00e+00, 0.00e+00)
Fit Stat. cstat ln(L) ... -- --
Fit and plot
minimised_params = spec.fit(tol=1e-8)
plt.rcParams["font.size"] = spec_font_size
plt.figure(figsize=spec_plot_size)
axes, res_axes = spec.plot(rebin=5)
for a in axes:
a.set_xlim(x_limits)
a.set_ylim(y_limits)
plt.show()
plt.rcParams["font.size"] = default_font_size

In spectrum1, 1 counts are left over from binning (bin min. 5) and will not be included when fitting or shown when plotted.
In spectrum2, 1 counts are left over from binning (bin min. 5) and will not be included when fitting or shown when plotted.
In combined, 1.5 counts are left over from binning (bin min. 5) and will not be included when fitting or shown when plotted.
Comparison
Model Parameter |
XSPEC (Cooper et al. 2021) [*] |
This Work |
|---|---|---|
Temperature 1 [MK] |
\(3.05^{+0.04}_{-0.35}\) |
3.19\(\pm\)0.23 |
Emission Measure 1 [cm-3] |
\(1.70^{+1.99}_{-0.08}\times10^{47}\) |
1.45 \(\pm\) 0.72\(\times\)10 46 |
Temperature 2 [MK] |
\(6.60^{+0.20}_{-0.61}\) |
7.13\(\pm\)0.97 |
Emission Measure 2 [cm-3] |
\(3.8^{+4.0}_{-0.7}\times10^{43}\) |
2.80 \(\pm\) 2.80\(\times\)10 43 |
Although these values are slightly different (almost or are within error margins), it is important to note that XSPEC and sunkit-spex work from different atomic databases. We also note that for a similar isothermal fit the temperature can drop/rise if the emission measure rises/drops and so fitting not just one but two of these models allows for these to vary more. We do see that this work (for this microflare time) produces slightly higher temperatures but correspondingly lower emission measures.
The errors in this code also work under a Gaussian and independent assumption and so are likely underestimating the true error on each parameter.
A Note On Parameter Handling
Setting spec.params["param_spec"] = string will set the Status, spec.params["param_spec"] = int or float will set the Value, spec.params["param_spec"] = tuple will set the Bounds. E.g.,
spec.params["T1_spectrum1"] = {"Value":3.05, "Bounds":(2.5, 6)}
is the same as doing
spec.params["T1_spectrum1"] = 3.05
spec.params["T1_spectrum1"] = (2.5, 6)
or
spec.params["T1_spectrum1"] = [3.05, (2.5, 6)]
To tie one parameter to another we can either set that parameter to the one we want to tie it to or use ["tie", "tied", "bind", "tether", "join", "joined", "in_a_relationship_with"]. E.g.,
spec.params["EM1_spectrum2"] = spec.params["EM1_spectrum1"]
spec.params["EM1_spectrum2"] = "JoIn_EM1_spectrum1"
spec.params["EM1_spectrum2"] = {"Status":"bind_EM1_spectrum1"}
To stop a parameter from varying we can set its Status to ["frozen", "freeze", "chill", "fix", "fixed", "secure", "stick", "glue", "preserve", "cannot_move", "cant_move", "canny_move", "married"]. E.g.,
spec.params["C_spectrum1"] = "fix"
spec.params["C_spectrum1"] = {"Status":"frozen"}
To allow a parameter to vary after being fixed simply set its Status to any of these ["free", "thaw", "loose", "unrestrained", "release", "released", "can_move", "single"]. E.g.,
spec.params["C_spectrum1"] = "free"
spec.params["C_spectrum1"] = {"Status":"thaw"}
Other (equivalent) ways to define the same model
When defining a model in a functional form, ensure that the energies input is a keyword with default None. E.g., f(…,energies=None).
This same form is used when adding a user component (or sub-) model to be used:
Lambda function
model_2therm = lambda T1, EM1, T2, EM2, C, energies=None: C*(f_vth(T1, EM1, energies=energies) + f_vth(T2, EM2, energies=energies))
Named function
def model_2therm(T1, EM1, T2, EM2, C, energies=None):
return C*(f_vth(T1, EM1, energies=energies) + f_vth(T2, EM2, energies=energies))
String input
model_2therm = "C*(f_vth + f_vth)"
The model can then be set with:
spec.model = model_2therm
As stated, if the user wants to redefine the model and parameter tables then instead of setting spec.model the user can set spec.update_model.
If a model if defined via a string (e.g., "C*(f_vth + f_vth)") then the component models will be plotted in different colours once plotted. These other methods will only allow the total resultant model to be plotted but allow for more complex models to be created by the user.
To ensure normal behaviour by all the code, make sure the function is self-contained; i.e., it can be run from its source code in a different directory. Any packages used that are not defined in the fitter module will need to be included in the function if the user wants to be able to save out and load in the fitting class and have full functionality (anything that includes pickle will not like this; e.g., parallelisation, etc.). Warnings will inform the user if their function is not self-contained and information given to help make it so.
Obviously if a package is needed that is imported outside the scope of the model function (which, when loaded back in will not be seen), or if the function is too complicated in some way, the same model can renewed in the new session via renew_model for any fitting to take place (this will not reset the parameter/rparameter tables).
If the user wants to define any sub-models (and use like f_vth above) then they can add these with the add_photon_model() function (see below).
Set different fitting ranges for each spectrum
To fit the energy range while missing bins:
spec.energy_fitting_range = [[2.5, 4], [4.5, 8.1]]
# This only will fit the counts from 2.5--4 keV and 4.5--8.1 keV and is applied to all spectra loaded
# To vary the fitting range per spectrum, say if we have two spectra loaded:
spec.energy_fitting_range = {"spectrum1": [[2.5, 4], [4.5, 8.1]], "spectrum2": [[2.5, 8.1]]}
then fit and plot again…
minimised_params = spec.fit()
plt.rcParams["font.size"] = spec_font_size
plt.figure(figsize=spec_plot_size)
try:
axes, res_axes = spec.plot(rebin=12)
for a in axes:
a.set_xlim(x_limits)
a.set_ylim(y_limits)
plt.show()
plt.rcParams["font.size"] = default_font_size
except ValueError as e:
print(e)

In spectrum1, 10 counts are left over from binning (bin min. 12) and will not be included when fitting or shown when plotted.
In spectrum2, 11 counts are left over from binning (bin min. 12) and will not be included when fitting or shown when plotted.
In combined, 9.5 counts are left over from binning (bin min. 12) and will not be included when fitting or shown when plotted.
setting an array element with a sequence. The requested array has an inhomogeneous shape after 1 dimensions. The detected shape was (2,) + inhomogeneous part.
Add user defined sub-model
Need to add function to the correct namespace for the fitter to see it and include the function name and parameters in defined_photon_models dictionary. This is done using the add_photon_model() function.
The defined_photon_models dictionary is what the sunkit-spex fitting uses to know what functions it can use to build with.
See what models are defined.
At the minute this is just the already defined module models {'f_vth': ['T', 'EM'], 'thick_fn': ['total_eflux', 'index', 'e_c'], ...}.
print("Defined models:\n", spec.defined_photon_models)
Defined models:
{'f_vth': ['T', 'EM'], 'thick_fn': ['total_eflux', 'index', 'e_c'], 'thick_warm': ['tot_eflux', 'ind', 'ec', 'plasma_d', 'loop_temp', 'length']}
Define your sub-model in the same way you would define a total model (f(*parameters,energies=None)).
Model spectrum in units of photons s^-1 cm^-2 keV^-1 here (dimensions to make model_spectrum#spectral_response consistent with count_spectrum).
Parameter names cannot be any already defined in defined_photon_models.
Essentially this is adding your model to the namespace that the fitting process uses to see what models are available to use:
spec.add_photon_model(gauss)
Now defined_photon_models is {'f_vth': ['T', 'EM'], 'thick_fn': ['total_eflux', 'index', 'e_c'], ..., 'gauss': ['a', 'b', 'c']} and can use the gauss function:
print("Defined models, user's now included':\n", spec.defined_photon_models)
Defined models, user's now included':
{'f_vth': ['T', 'EM'], 'thick_fn': ['total_eflux', 'index', 'e_c'], 'thick_warm': ['tot_eflux', 'ind', 'ec', 'plasma_d', 'loop_temp', 'length'], 'gauss': ['a', 'b', 'c']}
Now can use the user defined gauss model with already defined module models:
E.g. (use .update_model since the last one was "C*(f_vth + f_vth)" and still exists for spec object)
spec.update_model = "f_vth+gauss"
# spec.params.param_name -> [T1_spectrum1,EM1_spectrum1,a1_spectrum1,b1_spectrum1,c1_spectrum1]
print("Parameters\n", spec.params)
Parameters
Status Value Bounds Error
T1_spectrum1 free 1.0 (0.0, None) (0.0, 0.0)
EM1_spectrum1 free 1.0 (0.0, None) (0.0, 0.0)
a1_spectrum1 free 1.0 (0.0, None) (0.0, 0.0)
b1_spectrum1 free 1.0 (0.0, None) (0.0, 0.0)
c1_spectrum1 free 1.0 (0.0, None) (0.0, 0.0)
T1_spectrum2 tie_T1_spectrum1 1.0 (0.0, None) (0.0, 0.0)
EM1_spectrum2 tie_EM1_spectrum1 1.0 (0.0, None) (0.0, 0.0)
a1_spectrum2 tie_a1_spectrum1 1.0 (0.0, None) (0.0, 0.0)
b1_spectrum2 tie_b1_spectrum1 1.0 (0.0, None) (0.0, 0.0)
c1_spectrum2 tie_c1_spectrum1 1.0 (0.0, None) (0.0, 0.0)
Can now use gauss photon model in the fitting
Either by itself or in a greater, overall model defined as a named function, lambda function, or string.
Sort parameters:
spec.params["T1_spectrum1"] = {"Value": 3.05, "Bounds": (2.5, 6)}
spec.params["EM1_spectrum1"] = {"Value": 1.7, "Bounds": (0.5, 3.5)}
Then fit and plot again…
minimised_params = spec.fit()
plt.rcParams["font.size"] = spec_font_size
plt.figure(figsize=spec_plot_size)
try:
axes, res_axes = spec.plot()
for a in axes:
a.set_xlim(x_limits)
a.set_ylim(y_limits)
plt.show()
plt.rcParams["font.size"] = default_font_size
except ValueError as e:
print(e)

setting an array element with a sequence. The requested array has an inhomogeneous shape after 1 dimensions. The detected shape was (2,) + inhomogeneous part.
If the user’s model function requires complicated variables/constants/etc., say large array loaded from a file, then this will not be seen if the session is save and loaded back in another time. To avoid this see the add_var function which works in a similar way to add_photon_model but for variables to be seen when pickling.
In addition to add_photon_model and add_var also having an overwrite input they also come with methods to remove any user added models or variables, such as del_photon_model and del_var which take the model/variable name as a string, respectively.
Total running time of the script: (0 minutes 51.247 seconds)